
鞏義市仁源水處理材料廠
聯系人:孫經理
手機:15838253283(微信同號)
電話:0371-66557686
郵箱:1813885391@qq.com
地址:河南省鞏義市工業園區
優良多面空心球填料生產廠家垃圾填埋場區域地下水鉛的修復方案比選:以拉薩市為例
優良多面空心球填料生產廠家垃圾填埋場區域地下水鉛的修復方案比選:以拉薩市為例。研究背景:西藏地區由于近幾年經濟的發展,生活水平的逐漸提高以及旅游業的興起,產生大量的生活垃圾和旅游垃圾。對于城市生活垃圾的處理,在西藏地區主要還是以衛生填埋為主。而拉薩市垃圾填埋場使用接近20年,隨著使用年限的增加,垃圾填埋場的防滲層可能出現一些安全隱患。垃圾填埋場在使用中會產生大量的氣體和滲濾液,如果防滲措施功能不佳,則會對周圍的大氣、地下水、地表水和土壤等自然環境有所污染。則防滲層的損壞會造成污染物的泄漏,這些污染物中包含大量的重金屬。如果地下水中出現鉛的泄漏,會造成鉛的超標和引起多種疾病,例如腎損傷、不孕、流產、鉛腦病、腹絞痛、溶血性貧血等。而目前主要處理含鉛的地下水方法有物理屏蔽法、抽出處理法和原位修復法。
采用AHP(層次分析法)和TOPSIS法(逼近理想解排序法/優劣解距離法)相結合分析。其中,AHP決策分析法是由美國運籌學家Saaty提出的一種定性與定量相結合的決策分析方法。TOPSIS法是由Hwang等提出,根據有限個評價對象與理想化目標的接近程度進行排序的方法,是多目標決策中經常使用的方法。例如,張婧等運用AHP-TOPSIS方法選取填埋場區域氨氮污染地下水的修復方案,結果表明,空氣注入+原位修復技術更適合地下水修復。王紀洋等用AHP-TOPSIS模型評價了危險化工工藝的風險等級。張士寬等運用AHP和MCDA進行地下水污染修復技術優選排序,表明抽出處理技術、原位微生物修復技術較為理想。霍攀等用AHP和模糊評判法對垃圾填埋場選址的應用進行對比,表明2種方法結合可提高評判結果的準確度。吳軍年等也運用AHP法選取廢渣庫的選址確定環境經濟最適宜場址。陳海濱等用AHP確定權重和節約法對收運路線進行優化,從而選取村鎮生活垃圾收運路線。李丹丹等以甕安縣農產品基地農用地土壤作為研究對象,用GIS、地統計分析法和組合賦權TOPSIS模型法進行了綜合評價。趙國存等用AHP-TOPSIS方法評價裝備保障信息,提到該模型的優點在于不損失指標初始信息,使評價結果與實際非常接近。
本文分析拉薩市垃圾填埋場地下水鉛的修復技術,是基于拉薩市的自然環境和社會環境來選取建設條件、技術條件、經濟條件、環境條件、污染特征及水化學特征6個方面作為評價指標體系。先利用AHP確定權重,然后用TOPSIS法對指標體系的優劣進行排序分析。以AHP和TOPSIS相結合的方法完成綜合分析,最后通過評價結果確定了最適宜的修復方案。
摘 要
拉薩市垃圾填埋場隨著使用年限的增長,填埋場區域地下水中重金屬鉛的含量偏高。為了更好地保護地下水,采用物理屏蔽法、抽出處理法和原位修復法作為修復方案。運用AHP-TOPSIS方法來選取最佳修復方案:先通過AHP層次分析法確定權重,選取了建設條件、經濟條件、技術條件、環境條件、污染物特征、水化學特征6個指標體系來建立層次分析模型;然后采用TOPSIS接近理想目標的排序方法對修復方案的選取進行優劣排序分析。結果表明:2種方法綜合分析得到的權重值由大到小的順序為原位修復法、物理屏蔽法、抽出處理法,最后確定原位修復技術更加適合于該場區地下水修復。
01
修復方法比選模型
1.AHP層次分析法步驟
AHP主要用于分析多目標、多要素和多層次的復雜決策問題,將問題分解為若干具有條理性的層次和因素,建立層次分析的模型,然后比較每一層次的要素,得到相對重要的標度建立矩陣,從而計算出最大特征值和特征向量,即可得出不同方案的權重。AHP決策分析的主要步驟如下:
1)分析問題。了解問題所涉及的范圍和因素關系,掌握充分的實際信息。
2)建立層次結構模型。對問題的要素進行分組分層次分析:目標層—準則層—措施層排列,建立層次結構模型。
3)建立判斷矩陣。該步驟中評定層次中元素間的相對重要程度判斷,進行兩兩比較。元素間的相對重要性的判斷值采用1~9標度法。
4)層次單排序。對上層次中某元素而言,確定本層次與之間有聯系的各元素重要性次序的權重值,是層次總排序的基礎。這一層次計算矩陣的特征根和特征向量,計算出最大特征根,再計算權重值。為了使矩陣合理化,需要進行一致性檢驗。計算出的一致性指標要與表2中RI平均一致性指標比較。其中的比值CR若<0.1,則矩陣具有一致性;若>0.1,則矩陣需要進行調整滿足一致性。
5)層次總排序。計算所有元素的權重值,對每個層次進行逐層排序。判斷層次總排序是否具有一致性,也需要進行一致性檢驗。
而AHP分析方法主要是計算最大特征值和特征向量,有2種方法(方根法、和積法),這里主要采用和積法。
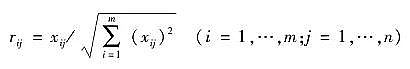
2.TOPSIS計算步驟
TOPSIS是在歸一化后的原始數據矩陣中,找出方案中最優方案和最劣方案,然后計算各評價對象與各方案距離,獲得評價對象與最優方案的相對接近程度,其步驟如下:
層次總排序與目標層矩陣X進行規范化,得到標準綜合矩陣R:

加權規范化綜合矩陣V:屬性的權重向量ω和規范化矩陣R結合:

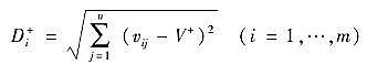
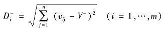
根據V,選擇指標得分最多的為正理想解V+,得分少的為負理想解V-,然后計算方案和正負理想解的距離D。


確定相對接近度C,進行排序:

Ci按大小排序,值最大者最優的方法。
02
拉薩垃圾填埋場地下水修復技術選取
1.拉薩市垃圾填埋場地下水監測結果
根據拉薩市垃圾填埋場項目特點和該項目所在地的地質環境狀況,在該填埋場周圍6個監測井中選取4個沒有被異物堵住的監測井進行監測。按照HJ/T164—2004《地下水環境監測技術規范》和GB/T 14848—2017《地下水質量標準》,確定主要監測的指標有pH值、電導率、溶解氧、高錳酸鹽指數、氨氮、化學需氧量、石油類、揮發酚、鉻(六價)、氰化物、陰離子表面活性劑、砷、汞、硒、鎘、鉛、溶解性總固體、總硬度、硝酸鹽、亞硝酸鹽、氟化物、銅、鋅、氯化物,水質檢測結果如表3所示。依照GB/T 14848—2017 Ⅲ類標準值計算污染物超標率,可以看出重金屬中僅有鉛超標。

表3 地下水質量監測數據統計
2.地下水修復技術決策層次分析模型
地下水鉛污染修復技術主要由物理屏蔽、抽出處理和原位修復技術。其中,物理屏蔽法主要通過隔離受污染的水體,來減少周圍水體污染,缺點是處理范圍小和地下水污染初期治理。抽出處理是目前最為普遍的方法,將受污染地下水抽出,然后對其凈化處理,該方法可以防治污染水體向周圍遷移,但是存在浪費大量水資源和能量的缺點。而原位修復技術是目前主要的發展方向,包括滲透反應格柵、原位生物修復、動電修復技術,這3種技術分別具有無需外加動力、節省空間、經濟便捷,成本低、不破壞生態平衡,人工需求少、經濟高效等優點。水化學特征中,pH會影響化學和生物技術修復過程,會對污染物產生影響。因此,綜合考慮主要從場地建設條件、技術條件、經濟條件、環境條件、污染特征及水化學特征6個方面選取了17 指標,建立指標體系,如圖1所示。自上而下建立了目標層(A)、準則層(B)、子準則層(S)、措施層(P)。

圖1 修復技術決策分析層次模型
3.AHP權重計算結果分析
根據1~9標度法的判斷值,對同一層次中的因素進行兩兩比較,構造矩陣。因此,構造目標層A對準則層B的判斷矩陣A-B,見表4。計算出向量AW=[1.473, 1.496, 0.846, 0.578, 1.625, 0.196]T,CI=0.055,而RI參選表2選取1.24,得出CR=0.044<0.1,說明此矩陣具有可接受的一致性。由表4可看出:準則層中污染特征、技術條件、建設條件是修復過程中主要考慮的因素,3個條件權重分別為0.266、0.249、0.235。但在修復過程中經濟條件也要考慮,尤其是修復中的設備投資、成本運行等因素,其權重為0.129,其重要性處于第4位。在修復過程中也要考慮對周邊環境的影響,其權重為0.09,其重要性位于第5位。最后在修復過程中要特別考慮到水化學特征,因為水中的pH對修復過程中的化學和生物技術會產生一定的影響。張婧等在通過AHP-TOPSIS方法對填埋場地下水污染氨氮的空氣注入+原位生物修復和P&T+生物法兩種修復方法的比選中,也認為技術指標和場地條件要比經濟指標和環境指標更為重要。張伯強等在采用AHP法和MCDA法對填埋場地下水修復技術優選中表明技術指標權重要比經濟指標和社會環境指標權重大。張伯強等用MCDA選取沙漠地區污染地下水修復技術中也得出技術指標權重要比經濟指標和社會環境指標權重大。

表4 目標層對準則層判斷矩陣
通過公式計算出:準則層B對子準則層S的判斷矩陣B1-S1-2、B2-S3-7、B3-S8-11、B4-S12-14、B5-S15-16、B6-S17,如表5所示。可知:對修復影響最大的是污染物類型,其權重為0.228。其次,地質條件在修復過程中也有重要的影響,其權重為0.157。修復過程中的技術成熟度也相當重要,其權重為0.088;修復過程中技術可實施性也存在影響,其權重為0.079;修復中的水文條件也是一個因素,其權重均為0.078;在修復過程中設備投資也有一定影響作用,其權重為0.054;修復中也要注意水資源的保護,其權重為0.045;在修復中,修復周期也有影響,其權重為0.041。污染物濃度、后期管理費用、pH、生態保護也起到一定作用,其權重分別為0.038、0.035、0.031、0.030。當然,在修復過程也要注意運行成本、修復效率、工人健康安全、監測費用、副產品危害等問題,其權重分別為0.025、0.024、0.017、0.016、0.015。

表5 層次總排序
構造次準則層對措施方案層的判斷矩陣,計算出目標層對措施層的優化矩陣,見表6。方案層對次準則層的矩陣為3階,RI=0.58。通過AHP的計算,總權重0.426(原位修復法)>0.293(抽出處理法)>0.282(物理屏蔽法),因此原位修復法適合該地地下水鉛的修復技術。有學者研究填埋場地下水污染修復方案的比選中,也顯示原位修復類的方法優于其他方法。

表6 目標層對方案層的優化矩陣
4.TOPSIS計算最優排序結果分析
在V中選擇各措施方案的得分最多的正理想解V+和得分最少的負理想解V-,再計算各措施方案的D+、D-和相對接近度Ci,如表7所示。

表7 各方案措施的距離計算和相對接近度
根據相對接近度確定修復方案優劣排序,由表7可看出:相對接近度Ci(原位修復法)>Ci(物理屏蔽法)>Ci(抽出處理法),所以原位修復法在該地區更適合地下水鉛的修復。目標層對方案層的分析優化矩陣也表明,在技術條件中的技術成熟度、修復周期、技術可實施性、工人健康安全方面,原位修復技術比抽出處理法和物理屏蔽法更適宜。通過最后指標權重的優劣排序,也可以看出原位修復技術更具有優勢,比較適合該地區地下水鉛的修復。
03
結 論
1)對拉薩垃圾填埋場地下水污染物的調查,垃圾填埋場監測井中出現污染物鉛,然后選取鉛污染修復技術,包括物理屏蔽法、抽出處理法和原位修復法3種方法。根據拉薩市的生態環境、社會環境等方面,從建設條件、技術條件、經濟條件、環境條件、污染特征、水化學特征6個方面確定了影響填埋場地下水修復的17個指標,構建了層次分析評價指標體系。
2)通過AHP層次分析法進行權重值確定,認為在地下水污染修復過程中主要考慮的因素有污染特征、技術條件、建設條件。其中,選取的指標中污染物類型、地質條件、技術成熟度等作為權重值較大,對污染物修復技術的選取也有一定影響。最后通過優化矩陣,得出原位修復技術優勢較明顯,適合該地區地下水修復。
3)在采用TOPSIS方法進行優劣排序對各修復技術進行綜合分析后,原位修復技術相對接近度值最大,最終確定原位修復法適合該地垃圾填埋場鉛污染的修復。
更多優良多面空心球填料生產廠家詳情點擊:http://www.683996.com/