
鞏義市仁源水處理材料廠
聯系人:孫經理
手機:15838253283(微信同號)
電話:0371-66557686
郵箱:1813885391@qq.com
地址:河南省鞏義市工業園區
高質量粉狀活性炭生產廠家二級反滲透系統的工藝結構特征分析
高質量粉狀活性炭廠家二級反滲透系統的工藝結構特征分析。在純水制備項目中,二級反滲透系統是重要的工藝環節。二級系統與一級系統的重要區別之一是給水含鹽量一般低于50 mg/L,給水中硬度與有機物等污染性物質的濃度很低,不易形成系統污染。故反滲透系統設計導則規定:二級系統的膜平均通量約為35 L/(m2·h),系統的濃差極化度(膜表面鹽濃度與給水鹽濃度之比)上限1.4(一級系統上限1.2),系統回收率可達85%。因此低給水含鹽量、低污染物濃度、高平均膜通量、高濃差極化度、高系統回收率的兩低三高特征構成了二級系統設計的重要基礎。
二級系統的設計包括元件品種、元件數量、流程長度、膜堆結構等多項內容,且包括系統收率、系統功耗、產水鹽量、段通量比(兩段通量之比)與段濃水比(兩段膜殼濃水流量之比)等多項經濟技術指標。筆者還就二級系統的流程長度與膜堆結構進行了重點分析。
本研究僅以海德能公司的兩個型號元件代表高壓與低壓兩類膜品種,低壓膜ESPA2的測試參數為:給水壓強1.05 MPa、脫鹽率99.6%、產水量34.1 m3/d,高壓膜CPA3的測試參數為:給水壓強1.55 MPa、脫鹽率99.7%、產水量37.9 m3/d。
本研究所示數據均由海德能設計軟件計算得出。由于該軟件對于二級系統脫鹽率的計算結果偏高,故二級系統產水含鹽量偏低,相關數據僅供工藝效果的對比之用。
01
濃差極化與元件配置
反滲透膜的濃差極化度的定義為:膜表面的鹽濃度與湍流態給濃水徑流中鹽濃度之比。因卷式膜元件中濃差極化度無法測量,故該參數多轉換為元件收率的函數。
此外低壓膜的脫鹽率較低,高壓膜的脫鹽率較高;故兩級系統均采用高壓膜時的系統脫鹽率高但能耗也高,而均采用低壓膜時的系統脫鹽率低但能耗也低。表1給出了1個產水流量為85 m3/h的兩級系統中,一級與二級系統分別采用不同膜品種(低壓膜ESPA2、高壓膜CPA3)時的系統運行參數。其中運行條件為:給水含鹽量2 000 mg/L,給水溫度25 ℃;一級系統產水量100 m3/h,回收率75%,膜堆結構14-7/6;二級系統產水量85 m3/h,回收率85%,膜堆結構12-4/4。

表1 某兩級系統中不同膜元件品種配置的系統運行參數
二級系統給水的含鹽量及滲透壓不高,各種元件品種配置的段通量比均接近1.1;因一級系統的給水含鹽量較高,采用高壓膜品種的段通量比遠低于采用低壓膜品種;此外兩級系統不同元件品種配置的重要差異在于系統功耗。
表1所示數據揭示了兩級系統的另一特征,即當兩級系統中選擇不同脫鹽率膜品種時,一級系統產水電導率差異較大,但兩級系統產水電導率相差不大。換言之,當一級系統脫鹽率較低時,則二級系統脫鹽率將上升,當一級系統脫鹽率較高時,則二級系統脫鹽率將下降。
為降低一級系統的段通量比與兩級系統功耗,一級系統應采用高壓膜而二級系統應采用低壓膜。換言之,一級系統應采用高壓膜品種,以小幅增大的系統能耗為代價,換取前后段通量趨于平衡;二級系統應采用低壓膜品種,以小幅增大的段通量比換取系統能耗的大幅降低。當然,對于脫鹽率要求較高的兩級系統,二級系統中也應采用高壓膜品種。
02
收率85%的二級系統
在相同回收率下,反滲透系統的一般規律為:長流程系統的濃差極化度較小,短流程系統的濃差極化度較大,但長流程系統也存在著系統功耗高與段通量比大等弊端。受到濃差極化度1.2限制,對于75%收率的一級系統一般采用6支裝膜殼即兩段流程全長12 m。因二級系統的濃差極化度限值放寬至1.4,采用短流程結構,可有效降低系統功耗與段通量比。
對于一般收率85%的二級系統,膜堆如采用整倍于2-1/5結構或整倍于2-1/4結構,則系統運行參數幾乎均優于整倍于2-1/6結構,即應采用5支甚至4支裝膜殼,其流程長度可縮短至10 m甚至8 m。相關數據見表 2,其中運行條件為:給水含鹽量30 mg/L,給水溫度25 ℃,產水流量200 m3/h,元件通量30 L/(m2·h),系統收率85%,元件品種ESPA2。

表2 85%收率二級系統中不同流程長度膜堆結構的運行參數
反滲透系統設計領域中,還要求各段膜殼的濃水流量(也稱段殼濃水流量)不得過低,即殼內末端膜元件的濃水流量不得過低,以使其元件的給濃水徑流維持湍流狀態。根據后面表 3數據分析,當系統收率為85%時,如仍采用2:1的兩段膜殼數量比結構,常出現首段的膜殼濃水流量大于末段的現象。由于系統末段濃水中的污染物濃度更高,為使末段錯流比更大以降低污染,則末段的段殼濃水流量應大于首段。

表3 85%收率二級系統中不同段殼數量比膜堆結構的運行參數
因此針對85%的二級高收率系統,無論流程為10 m或8 m,為使末段膜殼濃水流量大于首段,其兩段膜殼數量比應接近或等于3:1。如果兩段膜殼數量比接近或等于4:1時,則前后段膜殼濃水流量比過大,且使前段系統的濃差極化度過高。關于5種膜堆結構及運行參數的比較見表 3。其中運行條件為:給水含鹽量30 mg/L,給水溫度25 ℃,產水流量300 m3/h,平均通量33.6 L/(m2·h),回收率85%,元件品種ESPA2。
對于元件數量一致而不同流程長度的系統,由于膜殼長度不同會導致價格不等,故其投資成本有所差異。以膜元件數量相等但采用27-9/4與16-8/6不同膜堆結構為例進行系統投資成本的分析,結果見表4。其中運行條件為:給水含鹽量50 mg/L,給水溫度25 ℃,產水流量160 m3/h,平均通量30 L/(m2·h),回收率85%,元件品種ESPA2。

表4 兩類二級系統膜堆結構的膜殼成本與電費成本
設6芯膜殼的價格為2 000~2 800元,而4芯膜殼的價格為1 600~2 500元,并設系統年運行8 000 h且電價為0.8元/(kW·h)。
由表 4可知,27-9/4(9倍3-1/4)的短流程結構比16-8/6(8倍2-1/6)的長流程結構的膜殼總價僅增加9.00-6.72=2.28萬元,而年運行電費可節省48.1-43.3=4.8萬元,因此可知短流程結構較長流程結構具有明顯的經濟優勢。9倍3-1/4結構與8倍2-1/6結構的唯一缺點是:二級系統的4支裝膜殼與一級系統的6支裝膜殼在膜堆架構上存在長短差異。但該缺點與其經濟技術優勢相比,不足為慮。
03
二級濃水的回流方式
由于二級系統的產水含鹽量遠低于一級系統的進水含鹽量,故二級系統濃水總是回流至一級系統前,與一級系統進水混合為一級系統給水。該工藝結構不僅提高了兩級系統的回收率,也在一定程度上提高了兩級系統的脫鹽率。
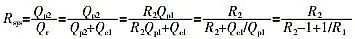
設兩級全系統進水流量為Qr、兩級系統給水流量分別為Qf1與Qf2,兩級系統產水流量分別為Qp1與Qp2,兩級系統濃水水流量分別為Qc1與Qc2,兩級系統收率分別為R1=Qp1/Qf1與R2=Qp2/Qf2=Qp2/Qp1,則具有二級系統濃水回流工藝的兩級全系統收率Rsys為:

對于兩級元件配置分別為CAP3的ESPA2的兩級系統,如無二級系統濃水回流工藝,系統給水流量為118.3+15=133.3 m3/h,則系統回收率為85/133.3=0.638,系統產水含鹽量為0.81 mg/L,電導率1.61 μS/cm;有二級系統濃水回流工藝時,根據(1)式關系,系統回收率為85/118.3=0.718,系統產水含鹽量為0.77 mg/L,電導率1.55 μS/cm。
二級系統濃水的回流工藝,具有圖 1給出的A與B兩個不同模式。實線所示模式A為目前普遍采用的模式,其二級濃水經濃水閥降壓并回流到一級給水泵前端,二級濃水的能量幾乎全部被濃水閥所消耗,并需要一級給水泵對其再次加壓。筆者建議采用虛線所示模式B,其二級濃水經增壓泵加壓并注入一級給水泵后端,二級濃水具有的能量可被充分利用,而只需對其小幅增壓至一級給水壓強,從而達到降低系統能耗之目的。
圖 1 某兩級系統的工藝流程與運行參數
理論計算表明,模式B工藝需增設1臺15 m3/h流量、30 m揚程的16-4型增壓泵,需要約4 000元投資,該增壓泵新增功耗15×300/3 600=1.25 kW,但一級給水泵功率可降低15×1 020/3 600=4.25 kW。給水泵與增壓泵與兩項功率相抵后系統可節省功耗3 kW,按照0.8元/(kW·h)及運行時間8 000 h/a計算,每年可節省電費約3×8 000×0.8=19 200元。因此二級系統濃水回流時,增壓并回流至一級給水泵后端工藝可有效節能。
04
結 論
(1)二級系統具有低給水鹽量、低給水污染物、高通量、高收率、高濃差極化度特點。
(2)一級與二級系統分別用高壓與低壓膜品種的組合形式時的能耗較低且脫鹽率較高。
(3)回收率85%的二級系統應該采用8 m的短系統流程與3-1/4或其整倍的膜堆結構。
(4)采用二級濃水回流至一級給水泵后端工藝,可有效降低兩級系統能耗與水泵投資。
更多高質量粉狀活性炭廠家詳情點擊:http://www.683996.com/