
鞏義市仁源水處理材料廠
聯系人:孫經理
手機:15838253283(微信同號)
電話:0371-66557686
郵箱:1813885391@qq.com
地址:河南省鞏義市工業園區
纖維球濾料50mm廠家單價選擇性電滲析處理酸性重金屬廢水試驗研究
纖維球濾料50mm生產廠家單價選擇性電滲析處理酸性重金屬廢水試驗研究。本文采用單價選擇性離子交換膜電滲析對污酸中的重金屬離子進行分離。考察了電流密度、流量、電壓及酸度對H+、Zn2+和Cd2+分離效率的影響。結果表明,污酸酸度(質量分數)為5%,Zn2+和Cd2+初始質量濃度分別為20、5 mg/L,電流密度為25 mA/cm2,淡水室和濃水室流量均為15 L/h,電滲析裝置運行168 min時,淡水室中H+透過率為85%,Zn2+和Cd2+泄漏率均為12.86%,重金屬離子截留率較高,達到分離污酸中重金屬離子的目的。
重金屬廢水具有毒性、難降解性和生物富集性。含重金屬離子的工業廢水主要來源于機械加工、礦山開采、鋼鐵及有色金屬冶煉和部分化工企業等,主要含有鉻、鎳、鋅、錳、銅、鉛、砷等。
目前,常見的重金屬廢水處理方法有化學沉淀法、擴散滲析法等。馬建偉等采用硫化沉淀法處理貴重金屬煉制廢水中的重金屬離子,最終出水中各重金屬離子含量滿足國家廢水排放標準。但化學沉淀法處理成本高,效果不穩定,易造成二次污染,且無法回收酸,在處理過程中易生成其他物質,存在安全隱患。
其課題組采用擴散滲析法處理酸性重金屬廢水,膜有效面積為800 cm2,在最佳實驗條件下,擴散滲析裝置運行2.5 h后達到動態平衡,平均金屬離子截留率達到85%。但擴散滲析法采用的膜有效面積較大,且裝置運行時間較長,導致其處理效率低下。
電滲析作為一項成熟的技術,因效率高,能耗低,對分離組分選擇性高,操作方便,對預處理要求低,原水回收率高,環境友好等顯著優點而被廣泛應用于水處理領域。單價選擇性離子交換膜可通過各離子組分與膜親和力的差異以及各組分的遷移速度在膜相中的差異性來實現各離子組分的選擇性分離。本研究采用單價選擇性離子交換膜電滲析法來處理酸性重金屬廢水,以探索其可行性。
一、材料與方法
1、實驗水質及要求
實驗采用某冶金企業生產排放污酸為原水,水質見表 1。在分離重金屬實驗中,要求H+透過率達到80%,Zn2+、Cd2+泄漏率不超過20%。

表 1 污酸水質
2、實驗裝置
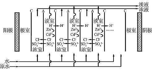
采用JRBP3010-Ⅱ型電滲析設備(北京潔睿環保科技有限責任公司)。電滲析裝置有4個隔室,分別為淡水室、濃水室和2個極水室;陽極采用鈦涂釕電極,陰極采用不銹鋼電極。選用日本ASTOM公司的單價選擇性陽離子交換膜(CIMS)和山東天維膜技術有限公司的普通陰離子交換膜,膜主要性能見表 2。膜有效面積為122.5 cm2(L=17.5 cm,B=7 cm),膜室體積為1.5 L,淡水室裝有原水水樣,濃水室裝有同體積的去離子水,極水室裝有0.5 mol/L Na2SO4溶液。

表 2 離子交換膜主要性能
注:*測定條件為25 ℃,0.5 mol/L NaCl溶液。
3、實驗方法
單價選擇性陽離子交換膜可借助孔徑篩分效應和靜電排斥作用實現對一價、多價陽離子的選擇性分離。在電場力作用下,淡水室中的H+通過單價選擇性陽離子交換膜進入到濃水室中,而Zn2+、Cd2+被截留在淡水室中,Cl-和SO42-通過普通陰離子交換膜進入到濃水室中。這樣濃水室中就只有H+、Cl-和SO42-,從而實現了重金屬與酸的分離。電滲析實驗裝置如圖 1所示。

|
|
|
C—單價選擇性陽離子交換膜;A—普通陰離子交換膜。 |
圖 1 電滲析實驗裝置
采用單因素法確定電滲析最佳電流密度、流量、電壓及酸度,并在最佳條件下進行電滲析實驗,測定淡水室和濃水室中各離子濃度,為后續濃水處理奠定基礎。
4、分析方法
H+濃度采用NaOH滴定法測定,Zn2+濃度采用EDTA滴定法測定,Cd2+濃度采用原子熒光分光光度法測定。
淡水室中H+、Zn2+、Cd2+的分離效率按式(1)計算。
|
|
(1) |
式中:ηi—分離效率,%;
Ci0—淡水室中i物質的初始濃度,mol/L;
Ci1——淡水室中i物質的最終濃度,mol/L。
淡水室中膜的選擇透過性按式(2)計算。
|
|
(2) |
式中:PA2+H+——淡水室中膜的選擇透過性;
t——通過膜的離子的遷移數;
J——通過膜的離子通量,mol/(m2·s);
c——淡水室中的離子濃度,mol/L。
淡水室中膜的單價選擇性分離效率〔5〕按式(3)計算。
|
|
(3) |
式中:S(t)——淡水室中膜的單價選擇性分離效率,%;
ct(A)——淡水室中物質A最終濃度,mol/L;
ct(B)——淡水室中物質B最終濃度,mol/L;
c0(A)——淡水室中物質A初始濃度,mol/L;
c0(B)——淡水室中物質B初始濃度,mol/L。
二、結果與討論
1、電流密度對分離效率的影響
在電流密度分別為10、15、20、25、30 mA/cm2,流量為20 L/h的條件下進行電滲析實驗。155 min時,各電流密度下離子分離效率如圖 2所示。

圖 2 電流密度對離子分離效率的影響
由圖 2可以看出,電流密度增加時,H+透過率逐漸增大,Zn2+泄漏率整體趨于上升,Cd2+泄漏率先降低后上升。這是因為隨著電流密度的不斷增大,電場力逐漸增強,膜表面排斥力的阻礙作用逐漸減小,H+的遷移速度逐漸上升。當電流密度為10 mA/cm2時,相對于Cd2+,離子交換膜對H+的單價選擇性較低,導致Cd2+泄漏率較高;電流密度為30 mA/cm2時,H+透過率達到95%,淡水室中的H+很少,電場力較強,膜表面產生的阻礙作用微乎其微,因此,Zn2+、Cd2+會快速遷移。
實驗結果表明,電流密度為20、25 mA/cm2時,離子分離效率均能滿足處理要求。此時,電滲析運行時間分別為159、140 min,能耗分別為0.032、0.042 kW·h。從能耗角度考慮,電流密度為20 mA/cm2 時,耗能最低。但從Zn2+、Cd2+分離效率來看,電流密度為25 mA/cm2時分離效果更好。綜合考慮,選擇25 mA/cm2為最佳電流密度。
此外,在最佳電流密度下,180 min內膜選擇透過性平均值為19.74、69.12,膜單價選擇性分離效率平均值達到67.95%(H+:Zn2+)、83.08%(H+:Cd2+)。可見180 min時膜對Cd2+的單價選擇性高于對Zn2+的單價選擇性,但總體效果都比較理想。
2、流量對離子分離效率的影響
在電流密度為25 mA/cm2,流量分別為10、15、20、25、30 L/h的條件下進行電滲析實驗,155 min時各流量下的離子分離效率如圖 3所示。

圖 3 流量對離子分離效率的影響
由圖 3可見,隨著流量的增加,H+透過率逐漸增大,Zn2+、Cd2+泄漏率先降低后上升。主要原因是隨著流量的不斷增大,相同時間內電滲析完成的循環次數增多,H+的遷移率逐漸升高。流量為10 L/h時,相對于Zn2+、Cd2+,離子交換膜對H+的單價選擇性較低,導致Zn2+、Cd2+泄漏率較高;流量為30 L/h時,H+透過率達到97%,淡水室中H+極少,電滲析完成的循環次數增多,Zn2+、Cd2+遷移率增大。
流量為15 L/h、電滲析運行時間為155 min時,能耗最低,為0.042 83 kW·h,且分離效果最好。因此,選擇15 L/h為最佳流量。在此流量下電滲析168 min,對陽離子的單價選擇性相對較高(見圖 4)。

圖 4 15 L/h流量下陽離子的單價選擇性
當電流密度為25 mA/cm2、流量為15 L/h、電滲析運行168 min時,實驗對重金屬離子的分離效果最佳。此時,淡水室中H+的透過率達到85%,Zn2+、Cd2+泄漏率均達到12.86%。
3、電壓對離子分離效率的影響
在流量為15 L/h,電壓分別為3、4、5、6、7 V條件下進行電滲析實驗。155 min時各電壓下的離子分離效率如圖 5所示。

圖 5 電壓對離子分離效率的影響
由圖5可以看出,電壓增加后H+透過率逐漸增大,Zn2+、Cd2+泄漏率整體趨于上升。這是由于隨著電壓的不斷增大,電場力逐漸增強,膜表面排斥力的阻礙作用逐漸減小,導致H+的遷移速度升高。當電壓達到7 V時,淡水室中剩余的H+很少,電場力較強,膜表面產生的排斥作用很小,Zn2+、Cd2+就會快速遷移。
結果表明,流量為15 L/h的條件下,電壓只有在6 V時能夠滿足要求,但離子分離效果較差。電壓為6 V、180 min內膜選擇透過性平均值分別為14.12、20.47,膜單價選擇性分離效率平均值分別為64.15%(H+:Cd2+)、73.85%(H+:Zn2+)。
由此可知,穩流狀態下的膜單價選擇性優于穩壓狀態。且穩壓狀態下Zn2+、Cd2+分離效果也不理想。因此進行電滲析實驗時應選擇穩流狀態。
4、酸度對離子分離效率的影響
在電流密度為25 mA/cm2,流量為15 L/h,酸度分別為3%、4%、5%、6%、7%、8%的條件下進行電滲析實驗。155 min時各酸度下的離子分離效率如圖 6所示。

圖 6 酸度對離子分離效率的影響
由圖 6可以看出,隨著酸度的增加,H+透過率反而降低,Zn2+泄漏率整體趨于下降,Cd2+泄漏率先降低后上升。主要原因是隨著酸度的增大,H+越來越多,相同的遷移速度下H+透過率不斷減小。酸度為3%時,淡水室中幾乎沒有剩余的H+,在電場力的作用下Zn2+、Cd2+會快速遷移;酸度為8%時,相對于Cd2+,離子交換膜對H+的單價選擇性較低,導致Cd2+泄漏率升高。
實驗結果表明,在電流密度為25 mA/cm2、流量為15 L/h的條件下,酸度為5%、6%時,各離子分離效率均能滿足要求。綜合比較,酸度為5%時處理效果最佳。
三、結論
(1)在污酸酸度為5%,Zn2+、Cd2+初始質量濃度為20、5 mg/L的條件下,電滲析裝置的最佳電流密度為25 mA/cm2,淡水室和濃水室適宜進水流量為15 L/h,運行時間為168 min。在最佳條件下,淡水室中H+的透過率達到85%,Zn2+和Cd2+泄漏率均為12.86%。
(2)電滲析裝置在穩流條件下的重金屬分離效果優于穩壓條件。因此,采用電滲析法分離重金屬時建議選擇穩流狀態。
(3)酸度對分離重金屬效果影響較大,實驗中酸度為5%時處理效果最佳。
更多纖維球濾料50mm生產廠家詳情點擊:http://www.683996.com/